Looking for solutions (1 Viewer)

deswa1

Well-Known Member
Joined
Jul 12, 2011
Messages
2,251
Gender
Male
HSC
2012
"Taking It Too Far", makes sense, hehe...
I wanna have a go at this paper when I'm done with chemistry!
Or I think I should do HSC past papers for now since this one doesn't seem to be as relevant to the HSC...
Do these papers- the harder papers are the ones that really test you and as you seem to make 1500 threads about needing helping with Q7's and 8's- I'm telling you do HARD papers.
 

The Matrix

Member
Joined
Jul 7, 2012
Messages
174
Gender
Male
HSC
2012
Do these papers- the harder papers are the ones that really test you and as you seem to make 1500 threads about needing helping with Q7's and 8's- I'm telling you do HARD papers.
1500 ?!?!? I have no thread that is explicitly asking for help regarding questions 7 - 8.
Ok, I'll do this one once I'm done with the HSC papers that I'm doing at the moment.
 

Trebla

Administrator
Administrator
Joined
Feb 16, 2005
Messages
8,668
Gender
Male
HSC
2006
For the Bernoulli Polynomials part don't be intimidated by the jargon and notation. It might be a little unusual and unfamiliar but it can be solved with the tools you already have.

(i) From condition 2



But from condition 3



(ii) From condition 2



Hence



To find c is a little tricky, first note that from condition 2 (after replacing n with n + 1 and integrating both sides from 0 to 1) and then applying condition 3



from the definition of g(x)

We can now evaluate c which is zero, hence





(iii) The first case for n = 1 is obvious using part (i)

Assume that for an arbitary n



Now consider



Note that the use of the assumption in the inductive step was already proved in part (ii) so I've sort of shortcutted it, hence the result holds by induction since it holds for n = 1
 
Last edited:

deswa1

Well-Known Member
Joined
Jul 12, 2011
Messages
2,251
Gender
Male
HSC
2012
The question isn't particularly difficult, but it is a bit tedious.

For simplicity sake, I will call the polynomial f(x) instead of phi(x).

We are given that f(x) is divisible by x^3, meaning it can be expressed in the form f(x) = x^3 ( ax^2 + bx + c )

We are also given that g(x) = f(x) - 1 is divisible by (x-1)^3, so we can say that g(x) = (x-1)^3 (dx^2 + ex + f)

So we have two equations essentially:



Express both (1) and (2) as polynomials of degree 5 by expanding and factorising etc, then equate their coefficients of x^5, x^4, ... , x, then constants.

Then a whole bunch of very basic simultaneous equations will lead you to finding a, b and c, thus finding the polynomial f(x).
The way I did it is nicer I think:

We know that f(x) is of the form ax^5+bx^4+cx^3=0 (as x^3 is a root).
Define g(x) to be the other function -> g(x)=ax^5+bx^4+cx^3-1
Now we know that (x-1) is a triple root -> Differentiate twice and you end up with three equations. Sub in x=1 to each of them (because x-1 is a factor) and you get three simulataneous with three variables (a,b,c). Solve these.
 

Carrotsticks

Retired
Joined
Jun 29, 2009
Messages
9,467
Gender
Undisclosed
HSC
N/A
That works too! Just tried it out of curiosity to see how long it was, ended up getting about a page, same as the other. Most of the working out was from solving the 3 simultaneous equations. My one had a lot more expansions but the simultaneous equations when equating were really nice (like 1-f = 0 etc)
 

deswa1

Well-Known Member
Joined
Jul 12, 2011
Messages
2,251
Gender
Male
HSC
2012
That works too! Just tried it out of curiosity to see how long it was, ended up getting about a page, same as the other. Most of the working out was from solving the 3 simultaneous equations. My one had a lot more expansions but the simultaneous equations when equating were really nice (like 1-f = 0 etc)
Oh right :). Personally, I hate expanding big things because I always lose terms somewhere but that's just me. BTW, I just did the paper- there are some very nice questions in there (though the mark allocation for some questions is a bit deceiving- some are way easier or harder than their marks suggest).
 

nightweaver066

Well-Known Member
Joined
Jul 7, 2010
Messages
1,585
Gender
Male
HSC
2012
Oh right :). Personally, I hate expanding big things because I always lose terms somewhere but that's just me. BTW, I just did the paper- there are some very nice questions in there (though the mark allocation for some questions is a bit deceiving- some are way easier or harder than their marks suggest).
That question 8 circle geometry worth 5 marks was surprisingly easy.
 
Joined
Sep 20, 2010
Messages
2,219
Gender
Undisclosed
HSC
2012
Yeah I've tried the paper again with a clearer mind - some good questions. Thanks for the info guys
 

Nooblet94

Premium Member
Joined
Feb 5, 2011
Messages
1,041
Gender
Male
HSC
2012
I had a look through the paper and then did question 8. I found it surprisingly easy in comparison to the rest of the paper. It was as easy, if not easier than some of the earlier questions IMO.

For the Bernoulli Polynomials part don't be intimidated by the jargon and notation. It might be a little unusual and unfamiliar but it can be solved with the tools you already have.

(i) From condition 2



But from condition 3



(ii) From condition 2



Hence



To find c is a little tricky, first note that from condition 2 (after replacing n with n + 1 and integrating both sides from 0 to 1) and then applying condition 3



from the definition of g(x)

We can now evaluate c which is zero, hence





(iii) The first case for n = 1 is obvious using part (i)

Assume that for an arbitary n



Now consider



Note that the use of the assumption in the inductive step was already proved in part (ii) so I've sort of shortcutted it, hence the result holds by induction since it holds for n = 1
I'm pretty sure your proof for (iii) is circular. You're assuming the result from (ii) is true, but in part (ii) you assume what you're proving in (iii).

Also, for finding the expression for g(x) in part (ii) can't you just replace the n's in with n+1 rather than having to go through the whole process of differentiating and then integrating? You get the same result.
 
Last edited:

deswa1

Well-Known Member
Joined
Jul 12, 2011
Messages
2,251
Gender
Male
HSC
2012
I tried them, I don't know where the answer are.
Yeah I don't have answers either. If you post your answer for specific questions though, I can check if I got the same thing (not saying I'm always right though).
 

seanieg89

Well-Known Member
Joined
Aug 8, 2006
Messages
2,653
Gender
Male
HSC
2007
I tried them, I don't know where the answer are.

happy to do a couple of questions if you need something to compare with. not going to write full solutions to everything though.
 

deswa1

Well-Known Member
Joined
Jul 12, 2011
Messages
2,251
Gender
Male
HSC
2012
happy to do a couple of questions if you need something to compare with. not going to write full solutions to everything though.
Yeah, could you (or someone else) please do Q3b. I did it but I'm not sure if I interpreted the question correctly or if what I did was valid.

Thanks :)
 

Carrotsticks

Retired
Joined
Jun 29, 2009
Messages
9,467
Gender
Undisclosed
HSC
N/A
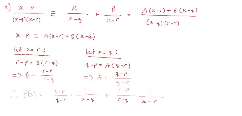
Here's something for you to start with because I presume it's part (ii) and (iii) you have trouble with.



 

jamie300

New Member
Joined
Jun 24, 2012
Messages
1
Gender
Male
HSC
2012
this one is not the hardest MX2 paper, I have a more crzay one5.jpg6.jpg7.jpg
 

Users Who Are Viewing This Thread (Users: 0, Guests: 1)

Top