Re: HSC 2015 2U Marathon
 -3\sin(x)\cos(x) +2\cos^{2}x =0 \,\,\,\,\,\, $where 0 \leq x\leq 2\pi \\ \\ $Rewriting:$ \, \, \, \\ sin^{2}x -2\sin(x)\cos(x) +\cos^{2}(x) +\cos(x)\cos(x) -\sin(x)\cos(x) =0 \\ (\sin(x)-\cos(x))^{2} + \cos(x)(\cos(x) - \sin(x)) =0 \\ (\sin(x)-\cos(x))^{2} - \cos(x)(\sin(x) - \cos(x)) =0 \\ \\ $Taking$ $(\sin(x)-\cos(x))$ $out$ $as$ $a$ $common$ $factor:$ \\ (\sin(x)-\cos(x))(\sin(x)-\cos(x) -\cos(x)) =0 \\(\sin(x)-\cos(x))(\sin(x)-2\cos(x))=0 \\ $Now, $ $either$ \sin(x)=\cos(x)\, $or$ \sin(x)=2\cos(x) \,$.$ $However,$ $this$ $can$ $not$ $be$ $true.$ \\ \\ \therefore \sin(x)=\cos(x) \\\therefore \tan(x)=1 $for $ \,0 \leq x\leq 2\pi \\ \therefore x=\frac{\pi}{4} \, $,$ 5\pi/4 )
Solve for x:
sin^2(x) - 3sin(x)cos(x) + 2cos^2(x) = 0 where 0<=x<=2(Pi)
Students helping students, join us in improving Bored of Studies by donating and supporting future students!
Solve for x:
sin^2(x) - 3sin(x)cos(x) + 2cos^2(x) = 0 where 0<=x<=2(Pi)
Oops. I was thinking it couldn't equal twice at once.Why can't we have?
In the HSC, you'd probably need to give exact values, soOops. I was thinking it couldn't equal twice at once.
sinx=2cosx
Tanx=2
x=63.43,243.43
x=1.107 radians, 4.249 radians
Thank you.
Cool method
ah i seeCool method
However I would simply divide both sides by
to get a quadratic in terms of tanx i.e
![]()
NEXT QUESTION
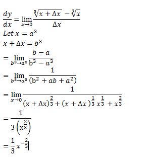
Find the derivative of x^3 using first principles
I don't see why not. The only important thing to notice however is that he used both parametrics and inverse functions, which are parts of the 3U course. (Nonetheless, I haven't heard of 3U knowledge being prohibited in a 2U paper.)Interesting solve by integrand. Is that legible in an exam? lol
Let P = (x1, y1) (so y1 = 2x1 + 1), and let Q = (x2, y2) (so y2 = 2x2 + 1).Next Question
![]()
My solution applies to more general situations, disregarding the position of the focus, we can find the length of any chord without finding the coordinates of points of intersection.Next Question
![]()