Smile12345
Active Member
- Joined
- May 30, 2013
- Messages
- 827
- Gender
- Undisclosed
- HSC
- 2014
I'm really not sure about how to do this one... Could someone help me please?
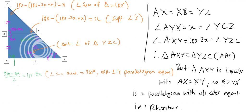
Diagram:
Given Info: AB and BC are straight lines. XBZY is a parallelogram. ZC = ZY and AX = BX. The points A, Y and C are collinear.
a) Prove that Triangle AXY is congruent to Triangle CYZ... - What proof should I use?
b) Prove that XBZY is a rhombus....
Thanks for all your help in advance.
Diagram:

Given Info: AB and BC are straight lines. XBZY is a parallelogram. ZC = ZY and AX = BX. The points A, Y and C are collinear.
a) Prove that Triangle AXY is congruent to Triangle CYZ... - What proof should I use?
b) Prove that XBZY is a rhombus....
Thanks for all your help in advance.
Last edited: