• Best of luck to the class of 2025 for their HSC exams. You got this!
    Let us know your thoughts on the HSC exams here

4U Revising Game (1 Viewer)

gurmies

Drover
Joined
Mar 20, 2008
Messages
1,207
Location
North Bondi
Gender
Male
HSC
2009
its not a typo, drongoski.
check it yourself... copy what looks like an 'n' and paste it into word. you will see its a pi, not an n.

i had mistaken it for an 'n' myself. But it was gurmies who knocked some sense into me.
Using logic, he wouldn't go all the way to character map/remember the alt code for pi to make an error :p
 

azureus88

Member
Joined
Jul 9, 2007
Messages
278
Gender
Male
HSC
2009
It doesnt matter whether its pi or n. Its assumed that they're positive constants anyway so it should work either way.

Anyway, new question:

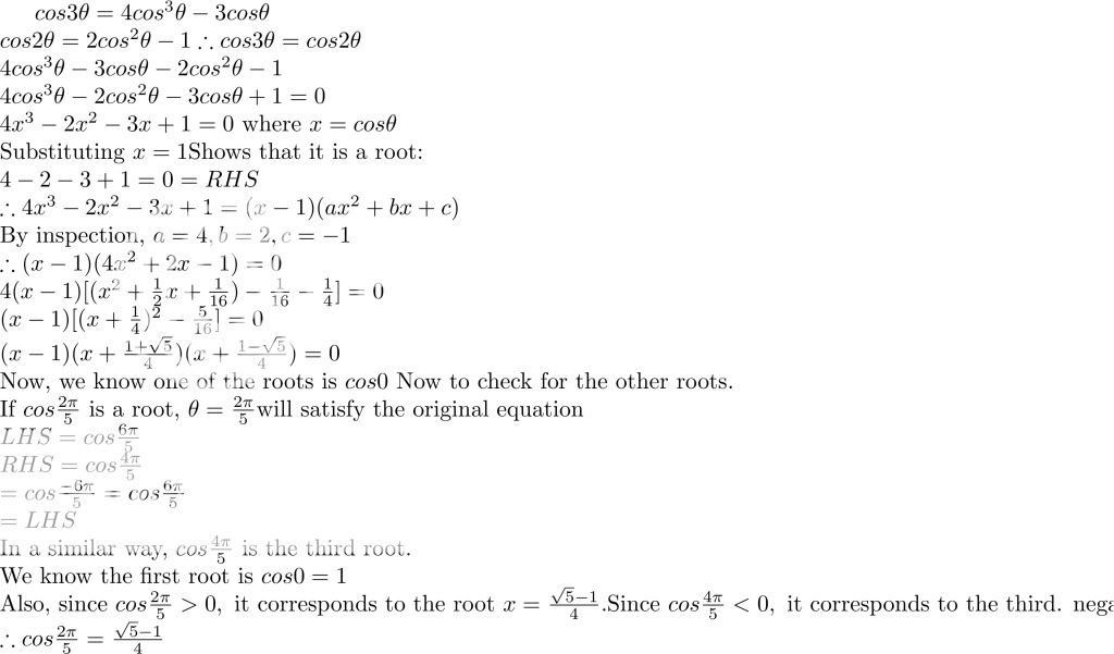
Find all solutions to z^4 = (z-1)^4
 

azureus88

Member
Joined
Jul 9, 2007
Messages
278
Gender
Male
HSC
2009
[maths]\delta V=\pi\left \{ (4-x+\delta x)^2-(4-x)^2 \right \}(2y)\\=4\pi y(4-x)\delta x\\=2\sqrt{3}\pi(4-x)\sqrt{4-x^2}\delta x\\\\V=\lim_{\delta x\to 0}\sum_{x=-2}^{2}2\sqrt{3}\pi(4-x)\sqrt{4-x^2}\delta x\\=8\sqrt{3}\pi\int_{-2}^{2}\sqrt{4-x^2}\delta x-2\sqrt{3}\pi\int_{-2}^{2}x\sqrt{4-x^2}\delta x\\=8\sqrt{3}\pi(\frac{\pi(2^2)}{2})-0\,\,\,\,(1/2\,$area of circle, odd function)\\=16\sqrt{3}\pi^2[/maths]
 

azureus88

Member
Joined
Jul 9, 2007
Messages
278
Gender
Male
HSC
2009
New Question:

[maths]$Show that$\,\,1+(1+x)+(1+x)^2+...+(1+x)^n=\frac{(1+x)^{n+1}-1}{x}\\$Hence show that$\,\,\binom{n}{r}+\binom{n-1}{r}+\binom{n-2}{r}+...+\binom{r}{r}=\binom{n+1}{r+1}[/maths]
 

Trebla

Administrator
Administrator
Joined
Feb 16, 2005
Messages
8,518
Gender
Male
HSC
2006
trebla, put us out of our misery.
is it a pi or an n?

thanks.
It is meant to be pi and x doesn't have to be integer valued. Either way, azureus88's got the right idea, just replace n with pi. Well done.
 

Drongoski

Well-Known Member
Joined
Feb 22, 2009
Messages
4,232
Gender
Male
HSC
N/A
its not a typo, drongoski.
check it yourself... copy what looks like an 'n' and paste it into word. you will see its a pi, not an n.

i had mistaken it for an 'n' myself. But it was gurmies who knocked some sense into me.
U are right haris; I peered close without my glasses and realise I couldn't see well.
 

harism

New Member
Joined
May 9, 2008
Messages
25
Gender
Male
HSC
2009
hahaha.
nice question there gurms.
my god you have to SEE it here.
 

GUSSSSSSSSSSSSS

Active Member
Joined
Aug 20, 2008
Messages
1,102
Location
Turra
Gender
Male
HSC
2009
this seems familiar ......... =S (shuning, namu and maybe gurmies wud understand xD)

gradient of the chord = 6a/9a = 2/3
Equation of the chord: y = (2/3)x

each cross section is a semicircle, Area = (1/2)(pi.r^2)
r= (1/2)(y1 - y2) ........... y1 = sqrt(4ax) .............. y2 = (2/3)x
= (1/2)(2sqrt(ax) - (2/3)x)
= (1/6)(6sqrt(ax) - 2x)

therefore

Area = (pi/2)((1/6)(6sqrt(ax) - 2x))^2
= (pi/72)(36ax - 24xsqrt(ax) + 4x^2)
= (pi/72)(36ax - (24/a)(ax)^(3/2) + 4x^2)

therefore

volume = pi/72 . S(36ax - (24/a)(ax)^(3/2) + 4x^2)dx limits: 9a --> 0
= pi/72 . [18ax^2 - (48/5a^2)(ax)^(5/2) + (4/3)x^3] limits: 9a --> 0
= pi/72 . (1458a^3 - (48/5a^2)(9a^2)^(5/2) + (4/3)(9a)^3) - 0
= pi/72 . (1458a^3 - (48/5a^2)(243a^(5) + 972a^3)
= pi/72 . (2430a^3 - (11664/5)a^3)
= pi/72 . ((486/5)a^3)
= (27pi.a^3)/20



hmmmmmmmmmmmmmmmmmmmm THAT looks a tad weird ...... always make so many typos on computer =[[[[[[
 
Last edited:

azureus88

Member
Joined
Jul 9, 2007
Messages
278
Gender
Male
HSC
2009
[maths]y_1^2=4ax\,\,and\,\,y_2=\frac{2}{3}x\\\delta V=\frac{\pi}{2}(y_1^2-y_2^2)\delta x\\=\frac{\pi}{2}(4ax-\frac{4}{9}x^2)\delta x\\V=\frac{\pi}{2}\int_{0}^{9a}(4ax-\frac{4}{9}x^2)dx\\=2\pi\int_{0}^{9a}(ax-\frac{x^2}{9})dx\\=27\pi a^3[/maths]

i might have misunderstood the question.
 
Last edited:

GUSSSSSSSSSSSSS

Active Member
Joined
Aug 20, 2008
Messages
1,102
Location
Turra
Gender
Male
HSC
2009
i might have misunderstood the question.
wat i interpreted it as saying was that the semicircles have their diameters IN that shaded region, so that shaded region is the BASE of a solid, with semi circular cross sections built up from it xD

......if that even makes sense at all =P
 

jet

Banned
Joined
Jan 4, 2007
Messages
3,148
Gender
Male
HSC
2009
So did I. The semicircles stick out from the black area out of the screen, in a metaphorical sense.
 

GUSSSSSSSSSSSSS

Active Member
Joined
Aug 20, 2008
Messages
1,102
Location
Turra
Gender
Male
HSC
2009
LOL well i just ammended my solution...saw one of the mistakes .... but it still doesnt look very pretty =[[[ probably heaps more mistakes in there =[[[
 

Users Who Are Viewing This Thread (Users: 0, Guests: 1)

Top