Web Addict
Member
- Joined
- Oct 19, 2012
- Messages
- 457
- Gender
- Male
- HSC
- 2013
Help Please.
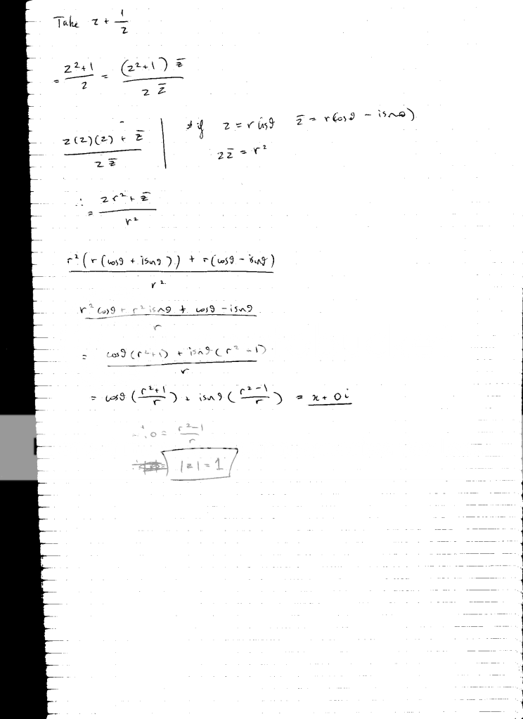
If z is a complex number where neither Re(z) or Im(z) is zero and it is given that z+(1/z) is real, find modulus of z.
Thank you.
If z is a complex number where neither Re(z) or Im(z) is zero and it is given that z+(1/z) is real, find modulus of z.
Thank you.
Last edited:
