I was just reading ahead for maths and I came across the binomial theorem (which I can't find in my Cambridge 3U yr 11).

I'm pretty familiar with using Pascal's triangle to find the coefficients but I just wanted to find out how this formula works.
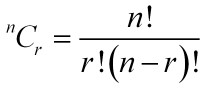
Could someone explain what the n over the k in the brackets means? I was watching khanacademy and he just said "n choose k".

I'm pretty familiar with using Pascal's triangle to find the coefficients but I just wanted to find out how this formula works.
Could someone explain what the n over the k in the brackets means? I was watching khanacademy and he just said "n choose k".
